Start with a Half Volley
Rule 1 of any exam should be: Relax The Candidate
02 February 2026
THIS IS A REVAMPED VERSION OF A BLOG PUBLISHED IN JAN 26
When I’m playing cricket, I'm always a bit nervous before I go out to bat. How fast will the bowling be? Will there be awkward bounce? Might the ball spin unexpectedly?
As the bowler runs in to bowl the first ball at me, what I’m hoping for is something easy to hit. A slow half volley outside my off stump, or a long hop that I can paddle away to the leg side. Basically anything that allows me to get bat on ball and, if I’m lucky, score a run so that I’ve opened my account, and won’t be heading back to the pavilion with a humiliating zero runs (a 'duck'). Then I can relax a little, and play my best game.
I believe that exams should be like this, too. The first question you are faced with should be something gentle that allows you to get off the mark. A question that anyone can answer if they have been paying some attention in class for the previous year, to demonstrate they understand the essential basics of their subject.
Some exams do this better than others, and among my favourites are the High School Certificate exams in NSW, Australia.
The maths qualification there comes in three tiers. They are:
* Standard - nearly everyone studying maths takes this (about 40% of school-leavers)
* Extension 1 taken by ~15% of students
* Extension 2 taken by ~5% of students
They are roughly equivalent to the UK's AS, A Level and Further Maths exams.
THE STANDARD PAPER (like AS Level)
The 'Standard' paper is designed to be accessible and relevant to anyone who wants a maths qualification but has no plans to pursue a mathematical subject at university. Here's the first question from the 2024 paper, testing a basic skill of rounding and handling negative numbers:

EXTENSION 1 (like A Level)
Extension 1 is a good foundation for highly numerate degrees such as engineering and the sciences. The first 2024 question was about factorising a cubic equation:

EXTENSION 2 (Like Further Maths A Level)
Extension 2 is very challenging, and aimed at those who are very strong at maths. It's great preparation for those who want to read maths at university. The first 2024 question was about a basic property of vectors:

One thing that all these exams have in common is that the opening question is a single mark, multiple choice 'quickie'. It's designed to check an important maths skill at the level being assessed, and almost all students that enter the exam would be expected to get the right answer with a little thought.
Not everyone is a fan of multiple choice questions, because they mean you can guess and have (in this case) a 1/4 chance of being right, but I like them because if you work out the answer and then see your answer is one of the options, you immediately get reassurance that you're (probably) right. The first ten questions in each of the NSW exams are multiple choice, after which come harder, higher scoring blank page questions.
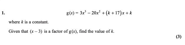
In the UK, the 'AS' exam used to be the gateway to A Level, but sadly very few schools are now able to offer it, so the first time most sixth form maths students encounter a public exam it's their A Level. In the case of Edexcel, it's the two hour Pure Maths paper, and in 2024 the student turning over the paper saw this question:

Maths teachers reassure me that this question is routine, and that most students in 2024 got it right. Students are coached to expect a question of this type, and are (I'm told) well drilled in the 'Factor Theorem'. For many maths A Level students it really is a juicy half volley. But those who aren't natural mathematicians, and don't recognise that the Factor theorem will be helpful here (or don't remember it!) can get drawn into factorising the cubic equation and spend five minutes getting into a bit of a muddle. (I confess that this included me.) On the face of it, the NSW factorising question was similar, but it required only one step rather than two or three, and there was the safety net of multiple choice so the candidate wasn't faced with a blank sheet.
I like to think of the first question in an exam as the first exchange in an interview. “Welcome to my subject, how are you today, have you had a good journey?” It recognises that the best assessments test understanding, not the ability to overcome nerves.
Maybe it was only me that was unsettled by the g(x) question, but I would say to any examiner, if in doubt it's better to make Q1 too easy than for it to unnerve a competent but nervous candidate. In other words, give them a gentle half volley to get them off the mark.
Newer 8 of 8

